Smart Delivery Systems – Pure White
Инновационная «умная» транспортная система Pure White объединяет два пептида в одну смарт-капсулу, нацеленную исключительно на меланоциты и не затрагивающую своим действием окружающие их клетки, которые не производят меланин.
Действие:
- подавляет выработку меланина;
- делает менее заметными пигментные пятна;
- обеспечивает ровный тон кожи.
Механизм действия: белок-лиганд внешней мембраны связывается с рецептором меланоцита, облегчая проникновение активного ингредиента внутрь и ингибирование меланина.
Oda White
Комплекс дикарбоновых кислот для осветления кожи с новым механизмом действия, ингибирующим весь метаболический путь синтеза меланина из ядра меланоцитов. Сокращает количество тирозиназы, производство меланина и препятствует образованию пигментных пятен.
Действие:
- подавляет выработку меланина;
- предотвращает формирование;
-
пигментных пятен.
Механизм действия: ингибирует весь метаболический путь синтеза меланина.
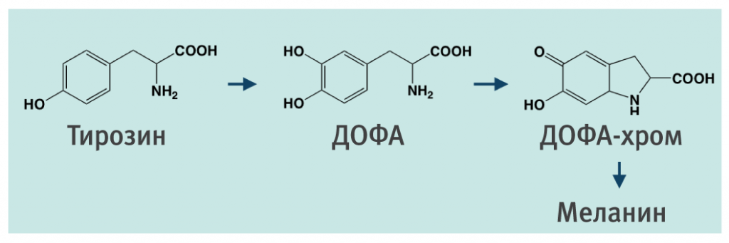
Альбатин
Альбатин (аминоэтилфосфиновая кислота) – ингибитор меланогенеза, который стабилизирует фермент ДОФА-хром и ограничивает образование меланина. Это способствует осветлению кожи и предотвращает образование пигментных пятен.
Действие:
• ингибирует выработку меланина;
• препятствует накоплению пигмента.
Механизм действия: cтабилизирует молекулу ДОФА-хрома и его энзимную активность в спонтанной выработке меланина.
Липигенин (Lipigenine)
Липигенин представляет собой экстракт семян льна, предназначенный для оптимизации липидного гомеостаза кожи путем активизации синтеза эпидермальных липидов. Он восстанавливает и укрепляет защит- ный барьер кожи, обладает антиоксидантными свойствами, помогает предотвратить ПВГП, повышает эластичность и нормализует уровень липидов в коже.
Действие:
- укрепляет и восстанавливает защитный;
- барьер кожи;
- обладает антиоксиданьными свойствами и помогает предотвратить ПВГП;
- повышает эластичность и уровень;
- увлажненности кожи;
- нормализует уровень липидов.
